Next: SIMD Architecture
Up: Introduction
Previous: Four Decades of Computing
Flynn's Taxonomy of Computer Architecture
- The most popular taxonomy of computer architecture was defined by Flynn in 1966. Flynn's classification scheme is based on the notion of a stream of information.
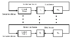
- Two types of information flow into a processor: instructions and data.
- The instruction stream is defined as the sequence of instructions performed by the processing unit.
- The data stream is defined as the data traffic exchanged between the memory and the processing unit.
According to Flynn's classification, either of the instruction
or data streams can be single or multiple. Computer architecture can be classified into the following four distinct categories:
- single instruction single data streams (SISD)
- single instruction multiple data streams (SIMD)
- multiple instruction single data streams (MISD)
- multiple instruction multiple data streams (MIMD).
- Parallel computers are either SIMD or MIMD.
- When there is only one control unit and all processors execute the same instruction in a synchronized fashion, the parallel machine is classified as SIMD.
- In a MIMD machine, each processor has its own control unit and can execute different instructions on different data.
- In the MISD category, the same stream of data flows through a linear array of processors executing different instruction streams. In practice, there is no viable MISD machine; however, some authors have considered pipelined machines as examples for MISD.
Figure 4:
SISD, SIMD, amd MIMD Architectures.
|
|
Next: SIMD Architecture
Up: Introduction
Previous: Four Decades of Computing
2006-10-06