- Polynomials are not the only functions that can be used to approximate the known function.
- Another means for representing known functions are approximations that use sines and cosines, called Fourier series.
- Any function can be represented by an infinite sum of sine and cosine terms with the proper coefficients, (possibly with an infinite number of terms).
- Any function,
, is periodic of period
if it has the same value for any two x-values, that differ by
, or
Figure 6.4:
Plot of a periodic function of period P.
|
|
Figure 6.4 shows such a periodic function. Observe that the period can be started at any point on the
-axis.
and
are periodic of period
and
are periodic of period
and
are periodic of period
- We now discuss how to find the
s and
s in a Fourier series of the form
![$\displaystyle f(x)\approx \frac{A_0}{2}+ \sum_{n=1}^{\infty} [A_ncos(nx)+B_nsin(nx)]$](img972.png) |
(6.4) |
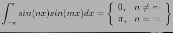
The determination of the coefficients of a Fourier series (when a given function,
, can be so represented) is based on the property of orthogonality for sines and cosines. For integer values of
:
 |
(6.5) |
 |
(6.6) |
 |
(6.7) |
 |
(6.8) |
 |
(6.9) |
It is related to the same term used for orthogonal (perpendicular) vectors whose dot product is zero. Many
functions, besides sines and cosines, are orthogonal (such as the Chebyshev polynomials).
- To begin, we assume that
is periodic of period
and can be represented as in Eq. 6.4. We find the values of
and
in Eq. 6.4 in the following way;
- For
; multiply both sides of Eq. 6.4 by
, and integrate term by term between the limits of
and
.
Because of Eqs. 6.5 and 6.6, every term on the right vanishes except the first, giving
Hence,
is found and it is equal to twice the average value of
over one period.
- For
; multiply both sides of Eq. 6.4 by
, where
is any positive integer, and integrate:
Because of Eqs. 6.6,6.7 and 6.9 the only nonzero term on the right is when
in the first summation, so we get a formula for the
s;
- For
; multiply both sides of Eq. 6.4 by
, where
is any positive integer, and integrate:
Because of Eqs. 6.5, 6.7 and 6.8, the only nonzero term on the right is when
in the second summation, so we get a formula for the
s;
It is obvious that getting the coefficients of Fourier series involves many integrations.
Subsections
Cem Ozdogan
2011-12-27