Flynn's Taxonomy of Computer Architecture
- The most popular taxonomy of computer architecture was defined by Flynn in 1966.
- Flynn's classification scheme is based on the notion of a stream of information.
- Two types of information flow into a processor:
- Instruction. The instruction stream is defined as the sequence of instructions performed by the processing unit.
- Data. The data stream is defined as the data traffic exchanged between the memory and the processing unit.
- According to Flynn's classification, either of the instruction or data streams can be single or multiple.
- Computer architecture can be classified into the following four distinct categories:
- single instruction single data streams (SISD)
- single instruction multiple data streams (SIMD)
- multiple instruction single data streams (MISD)
- multiple instruction multiple data streams (MIMD).
- SISD;
Figure 3:
SISD Architecture.
|
|
- SIMD;
Figure 4:
SIMD Architecture.
|
|
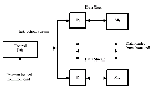
- MIMD;
Figure 5:
MIMD Architecture.
|
|
Parallel computers are either SIMD or MIMD.
- When there is only one control unit and all processors execute the same instruction in a synchronized fashion, the parallel machine is classified as SIMD.
- In a MIMD machine, each processor has its own control unit and can execute different instructions on different data.
- In the MISD category, the same stream of data flows through a linear array of processors executing different instruction streams. In practice, there is no viable MISD machine; however, some authors have considered pipelined machines as examples for MISD.
Cem Ozdogan
2010-10-04