SIMD Architecture
- The SIMD model of parallel computing consists of two parts as shown in Fig. 2.7a. :
- a front-end computer of the usual von Neumann style,
- a processor array.
- Each processor in the array has a small amount of local memory where the distributed data resides while it is being processed in parallel.
- The similarity between serial and data parallel programming is one of the strong points of data parallelism.
- Processors either do nothing or exactly the same operations at the same time.
- In SIMD architecture, parallelism is exploited by applying simultaneous operations across large sets of data.
- There are two main configurations that have been used in SIMD machines (see Fig. 2.5).
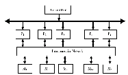
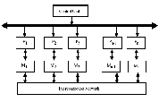
Figure 2.8:
Two SIMD Schemes.
|
|
- Each processor has its own local memory.
- Processors can communicate with each other through the interconnection network.
- If the interconnection network does not provide direct connection between a given pair of processors, then this pair can exchange data via an intermediate processor.
- In the second SIMD scheme,
- Processors and memory modules communicate with each other via the interconnection network.
- Two processors can transfer data between each other via intermediate memory module(s) or possibly via intermediate processor(s).
Cem Ozdogan
2011-09-28