There are two disadvantages to using the Lagrangian polynomial or Neville's method for interpolation.
First, it involves more arithmetic operations than does the divided-difference method we now discuss.
Second, and more importantly, if we desire to add or subtract a point from the set used to construct the polynomial, we essentially have to start over in the computations. Both the Lagrangian polynomials and Neville's method also must repeat all of the arithmetic if we must interpolate at a new -value. The divided-difference method avoids all of this computation.
Actually, we will not get a polynomial different from that obtained by Lagrange's technique.
Every -degree polynomial that passes through the same points is identical. Only the way that the polynomial is expressed is different.
The function, , is known at several values for :
We do not assume that the 's are evenly spaced or even that the values are arranged in any particular order.
Consider the -degree polynomial written as:
If we chose the so that at the known points, then is an interpolating polynomial. The 's are readily determined by using what are called the divided differences of the tabulated values.
A special standard notation for divided differences is
called the first divided difference between and . And,
.
In general,
Second- and higher-order differences are defined in terms of lower-order differences.
For n-terms,
and zero-order difference
Using the standard notation, a divided-difference table is shown in symbolic form in Table 2. Table 3 shows specific numerical values.
Table 2:
Divided-difference table in symbolic form.
Table 3:
Divided-difference table in numerical values.
3.2
22.0
8.400
2.856
-0.528
0.256
2.7
17.8
2.118
2.012
0.0865
1.0
14.2
6.342
2.263
4.8
38.3
16.750
5.6
51.7
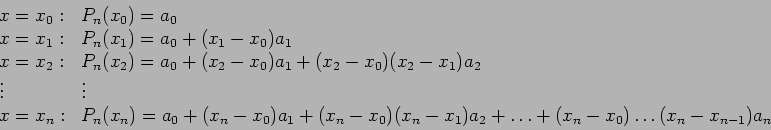
If is to be an interpolating polynomial, it must match the table for all entries:
Each will equal if
. We then can write:
Write interpolating polynomial of degree-3 that fits the data of Table 3 at all points to .
What is the fourth-degree polynomial that fits at all five points? We only have to add one more term to
If we compute the interpolated value at , we get the same result:
. This is not surprising, because all third-degree polynomials that pass through the same four points are identical. They may look different but they can all be reduced to the same form.
An algorithm for constructing n divided-difference table:
Divided differences for a polynomial
It is of interest to look at the divided differences for . Suppose that is the cubic
Here is its divided-difference table:
Observe that the third divided differences are all the same. (It then follows that all higher divided differences will be zero.)