- Newton's algorithm is widely used because, it is more rapidly convergent than any of the methods discussed so far. Quadratically convergent
- The error of each step approaches a constant K times the square of the error of the previous step.
- The number of decimal places of accuracy nearly doubles at each iteration.
- When Newton's method is applied to
, if we begin with
:
- After three iterations, the root is correct to seven digits (.3604217029603
2440136932951583028); convergence is much more rapid than any previous method.
- In fact, the error after an iteration is about one-third of the square of the previous error.
- There is the need for two functions evaluations at each step,
and
and we must obtain the derivative function at the start.
- If a difficult problem requires many iterations to converge, the number of function evaluations with Newton's method may be many more than with linear iteration methods.
- Because Newton's method always uses two per iteration whereas the others take only one.
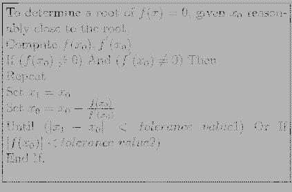
- An algorithm for the Newton's method :
- The method may converge to a root different from the expected one or diverge if the starting value is not close enough to the root.
- In some cases Newton's method will not converge (Fig. 3.7).
Figure 3.7:
Graphical illustration of the case that Newton's Method will not converge.
|
|
- Starting with
, one never reaches the root
because
and we are in an endless loop.
- Observe also that if we should ever reach the minimum or maximum of the curve, we will fly off to infinity.
- Example: Apply Newton's method to
.
(http://siber.cankaya.edu.tr/ozdogan/NumericalComputations/mfiles/chapter1/demoNewton.m m-file: demoNewton.m.
- Example: A general implementation of Newton's method.
(http://siber.cankaya.edu.tr/ozdogan/NumericalComputations/mfiles/chapter1/newton.m m-files: newton.m),(http://siber.cankaya.edu.tr/ozdogan/NumericalComputations/mfiles/chapter1/fx3n.m fx3n.m).
Cem Ozdogan
2011-12-27