Next:
Some Special Matrices and
Up:
Solving Sets of Equations
Previous:
Solving Sets of Equations
Contents
Matrices and Vectors
When a system of equations has more than two or three equations, it is difficult to discuss them without using
matrices
and
vectors
.
A
matrix
is a rectangular array of numbers in which
not
only the value
of the number is important
but also its
position
in the array.
In general,
(
is another matrix), so the order of factors must be preserved in matrix multiplication.
A matrix
with only one column,
in size, is termed a
column vector
,
with only one row,
in size, is called a
row vector
.
When the term
vector
is used, it nearly always means a
column
vector.
An
matrix times as
vector gives an
product (
) .
The general relation for
is
where
is a matrix,
and
are vectors (column vectors).
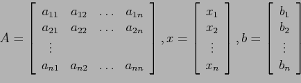
Set of linear equations
Much more simply in matrix notation, as
where
Example,
is the same as the set of equations
Subsections
Some Special Matrices and Their Properties
Using Computer Algebra Systems
Next:
Some Special Matrices and
Up:
Solving Sets of Equations
Previous:
Solving Sets of Equations
Contents
Cem Ozdogan 2011-12-27