- A way to avoid such pathology is to ensure that the root is bracketed between the two starting values and remains between the successive pairs.
- When this is done, the method is known as linear interpolation (regula falsi).
- This technique is similar to bisection except the next iterate is taken at the intersection of a line between the pair of x-values and the x-axis rather than at the midpoint.
- Doing so gives faster convergence than does bisection, but at the expense of a more complicated algorithm.
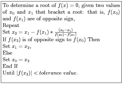
- An algorithm for the method of false position:
- If
is not continuous, the method may fail.
Table 3:
Comparison of methods,
, starting from
.
![\begin{table}
\begin{center}
\includegraphics[scale=0.6]{figures/1-12}
\end{center}\end{table}](img50.png) |
- Table 3 compares the results of three methods-interval halving (bisection), linear interpolation, and the secant method for
- Observe that the speed of convergence is best for the secant method, poorest for interval halving, and intermediate for false position.
Cem Ozdogan
2010-10-13