Exercise Set III


\begin{frame}{Exercise Set III.1}
\begin{enumerate}
\item (3.5) Determine the va...
...\item[(b)] anywhere from 80 to 120 days.
\end{itemize}\end{enumerate}\end{frame}

\begin{frame}{Exercise Set III.2}
\begin{enumerate}
\item[3] (3.12) An investmen...
...em[(b)] $P(T>3)$
\item[(c)] $P(1.4<T<6)$
\end{itemize}\end{enumerate}\end{frame}

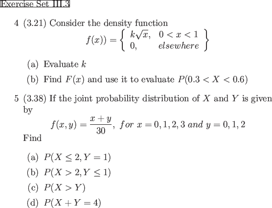
\begin{frame}{Exercise Set III.3}
\begin{enumerate}
\item[4] (3.21) Consider the...
...m[(c)] $P(X > Y)$
\item[(d)] $P(X+ Y=4)$
\end{itemize}\end{enumerate}\end{frame}


Cem Ozdogan 2012-02-15