Data Display and Graphical Methods

Figure 1: Box-and-Whisker plot.
\includegraphics[scale=0.9]{figures/08-01}

Figure 3: Stem-and-leaf plot for the nicotine data.
\includegraphics[scale=1.5]{figures/08-03}

Figure 6: Quantile plot for paint data.
\includegraphics[scale=1.5]{figures/08-06}

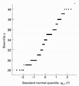
Figure 7: Normal quantile-quantile plot for paint data.
\includegraphics[scale=0.85]{figures/08-07}

Figure 8: Data for Example 8.5.
\includegraphics[scale=0.6]{figures/08-08}

Figure 9: Standard Normal Quantile, $ q_{0,1}(f)$.
\includegraphics[scale=0.6]{figures/08-09}

Cem Ozdogan 2010-05-10