Continuous Probability Distributions

Figure 3: Typical density functions.
\includegraphics[scale=0.45]{figures/03-04}

A probability density function is constructed so that the area under its curve bounded by the $ x$ axis is equal to 1.

Figure 4: $ P(a< X < b)$
\includegraphics[scale=0.45]{figures/03-05}

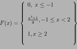
Example 3.12: For the density function of Example 3.6 find $ F(x)$, and use it to evaluate $ P(0 < X \leq 1)$.

For $ -1 < x < 2$

$\displaystyle F(x)=\int_{-\infty}^x f(t)dt=\int_{-\infty}^x \frac{t^2}{3}dt
$

$\displaystyle =\frac{t^3}{9}\textbar_{-1}^x=\frac{x^3+1}{9}
$

\begin{displaymath}
F(x)=\left\lbrace
\begin{array}{l}
0,~x \leq -1 \\ \\
\f...
...\leq x <2 \\ \\
1, x \geq 2 \\ \\
\end{array}\right\rbrace
\end{displaymath}

$\displaystyle P(0<X\leq 1)=F(1)-F(0)
$

$\displaystyle =\frac{2}{9}-\frac{1}{9}=\frac{1}{9}
$

Figure 5: Continuous cumulative distribution function.
\includegraphics[scale=0.45]{figures/03-06}

Cem Ozdogan 2010-03-15