- A mean does not give adequate description of the shape of a random variable (probability distribution).
- We need to characterize the variability (or dispersion) of the random variable
in the distribution.
Figure 1:
Distributions with equal means and unequal dispersions.
|
|
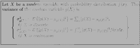
- Definition 4.3:
- Example 4.8:Let the random variable
represent the number of automobiles that are used for official business purposes on any given workday.
- The probability distribution for company A and B is as follows.
 |
1 |
2 |
3 |
 |
0.3 |
0.4 |
0.3 |
 |
0 |
1 |
2 |
3 |
4 |
 |
0.2 |
0.1 |
0.3 |
0.3 |
0.1 |
- Show that the variance of the probability distribution for company B is greater than that of company A.
- Solution:
- Theorem 4.2:
- Example 4.9: Let the random variable
represent the number of defective parts for a machine when 3 parts are sampled from a production line and tested.
- Calculate
using the following probability distribution.
 |
0 |
1 |
2 |
3 |
 |
0.51 |
0.38 |
0.10 |
0.01 |
- Solution:
- Theorem 4.3:
- Example 4.11: Calculate the variance of
, where
is a random variable with probability distribution.
 |
0 |
1 |
2 |
3 |
 |
1/4 |
1/8 |
1/2 |
1/8 |
- Solution:
- Definition 4.4:
- The covariance between two random variables is a measurement of the nature of the association between the two.
- The sign of the covariance indicates whether the relationship between two dependent random variables is positive or negative.
- When
and
are statistically independent, it can be shown that the covariance is zero.
- The converse, however, is not generally true. Two variables may have zero covariance and still not be statistically independent.
- The covariance only describe the linear relationship between two random variables.
- If a covariance between
and
is zero,
and
may have a nonlinear relationship, which means that they are not necessarily independent.
- Theorem 4.4:
- Definition 4.5:
- Exact linear dependency:
Cem Ozdogan
2010-03-25