An approach for quantum capacitance of graphene, carbon nanotube, silicene and hexagonal boron nitride nanoscale supercapacitors by non-equilibrium Green’s function method

FlatChem Volume 31, 100313, January 2022

doi:10.1016/j.flatc.2021.100313

Developed Python codes as input files to QuantumATK for some steps and Matlab code for the quantum capacitance with fixed band approximation are available as a Case Study for graphene system as the following steps:

Step1 Convergence Parameters

Step2 Band structures & Density of States (DOS)

Step3 Contact Distances by Mulliken Charge Analysis

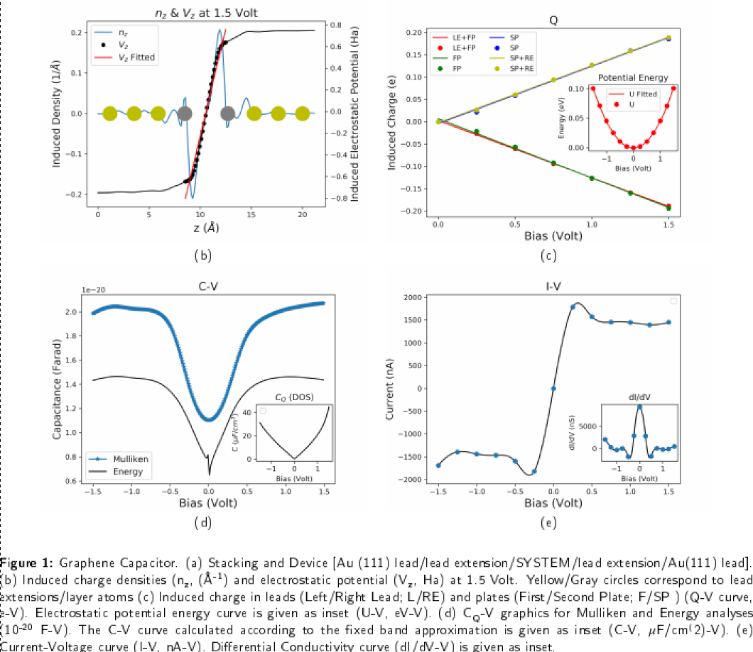
Step4 Layer Distances by Quantum Capacitance Calculations

Step5 Capacitance and Current Calculations

Group members:

Prof. Dr. Cem Özdoğan

Prof. Dr. Hatice Kökten

Please cite the following paper in any published work if you utilize any of the supplied resources in that page.

FlatChem 31, 100313, 2022 Bibtex

Last Updated: March 20, 2022

Google Search Console